PWM(Pulse Width Modulation) 기본 제어 원리1
전기자동차에서 모터 구동을 위해 주로 쓰이는 인버터(Inverter)는 PWM(Pulse Width Modulation) 제어에 의해 동작한다. 처음 이 PWM 제어에 대해 공부하면 잘 감이 오지 않을 수 있는데, 한 번 이해하면 그렇게 어렵지 않은 개념이니 겁먹지 말고 따라오자.
스위치와 PWM
우리말로 펄스 폭 변조라고 불리는 PWM은 간단히 말해 스위치를 on/off 하기 위한 신호의 패턴이다. 차량의 모터는 공급 받는 전류의 주파수와 크기로 회전 속도와 토크를 조절할 수 있기 때문에 차를 운전하려면 원하는 주파수와 크기의 교류 전원을 만들 필요가 있다. 이를 위해 필요한 장치가 바로 인버터이다. 기본적으로 인버터는 스위치를 껐다 켜는 동작으로 배터리에서 받은 직류를 교류로 바꿔준다. 상식적으로 스위치를 껐다 켜는 것만으로 매끄러운 사인파 교류를 만든다는게 이해하기 어렵다. 하지만 불연속적인(discrete) 관점으로 접근하면 쉽게 와닿을 수 있을 것이다.
우선 아래 그래프들을 비교해보며 평균에 대해 이해해 보자.

위 그림에서 T 동안 왼쪽과 오른쪽의 평균 값은 모두 7로 동일할 것이다.

만약 Vin이 10V인 위와 같은 회로에서 7V의 vout을 얻고 싶다면 앞선 방식과 같이 0.7T만큼 스위치를 켜고 0.3T만큼 스위치를 끈다면 평균 7V의 vout을 얻을 수 있을 것이다.
마찬가지 방법으로 다른 전압들도 구현하여 연속적으로 본다면 아래와 같이 선형적이지 않은 전압도 discrete하게 표현할 수 있다.

만약 T가 매우 작은 시간이라 가정한다면 더욱 매끄럽게 연속적인 전압을 표현할 수 있다. PWM 제어는 바로 이 원리에서 착안되었다.
Half-Brdge Inverter의 스위치 동작과 출력
이번엔 인버터 중 가장 단순한 형태인 Half-Bridge Inverter에 적용해보자.

이 인버터는 하나의 DC전원을 통해 하나의 교류 출력을 낼 수 있는 장치 중 하나이다. R과 L은 임의의 부하로 저 위치에 모터가 올 수도 있다. 이 그림에서 저 하나의 Birdge에 직렬로 연결 된 스위치 S1과 S2는 부하 용량에 따라 MOSFET이나 IGBT 같은 반도체 소자로 이루어진다. 두 스위치의 주요한 특징으로 한 스위치가 켜지면 반대로 다른 하나는 꺼지는 상보 관계 (Complementary)로 동작한다는 것이 있다. 만약 Vdc가 20V일 때, 이렇게 되면 위쪽 스위치가 꺼진 동안 아래쪽 스위치가 켜지게 되므로 출력 전압은 10V와 -10V 두 가지 값을 갖게 된다. 따라서 앞선 방법과 달리 7V의 출력 전압을 만들기 위해 아래와 같은 스위치 on/off 비율이 필요하게 된다.

Half-Brdge Inverter에서 삼각파 비교 방법 원리
PWM 방법은 정해진 시간 동안 스위치의 on/off 비율을 통해 원하는 전압의 평균값을 출력하는 원리이다. 하지만 이 비율을 수학적으로 계산하려면 계산량이 많고 복잡하여 비싼 DSP 장치를 사용해야하여 매우 비효율적이다. 그럼 좀 더 빠르고 쉽게 비율을 계산할 수 있는 방법은 무엇이 있을까? 바로 아래와 같이 Carrier와 Reference를 이용하는 방법이다. 위에서 설명한 예시와 동일한 상황에서 확인해보자.

내가 출력하고자 하는 원하는 전압을 Reference 전압이란 의미로 Vref라 하고, -10V에서 10V까지 T 동안 선형적으로 변하는 전압을 Carrier 전압의 의미로 Vcar라 하자. 이 두 전압을 비교하여 Vref가 Vcar보다 큰 구간과 작은 구간으로 나누고, 각 구간을 S1 on, S2 off 와 S1 off, S2 on 동작을 하도록 하면 결국 위에서 설명한 예시와 동일한 출력을 발생함을 볼 수 있다. 만약 Carrier가 좌우 대칭이더라도 스위치가 on/off되는 순서만 바뀔 뿐 동일한 평균값을 얻을 수 있다. 따라서 보통 Carrier로 삼각파를 사용한다.
이는 Comparator 소자를 이용하여 손쉽게 구현 가능하다. 아래는 그림과 같이 두 전압을 비교하여 스위치의 on/off 패턴을 발생할 수 있다.

하지만 만약 Comparator 소자가 버티지 못할 만큼 Inverter에서 다루는 전압이 매우 크다면 어떡할까? 이번엔 한 번 다음과 같이 더 낮은 전압으로 Vref와 Vcar를 scale down하여 보자.

Vcar의 진폭과 Vref 전압 크기를 같은 비율로 축소시키면 위 그림의 수식과 같이 삼각비에 의해 그 전압과 시간의 비율은 그대로 유지가 될 것이다. 따라서 내가 Inverter에서 다루고 있는 전압과 상관 없이 Comparator가 감당할 수 있는 전압 범위 내에서 스위치 신호의 동작 구간을 결정할 수 있다.
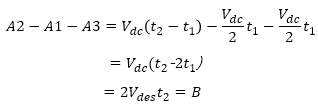
정말 삼각파를 비교하여 발생시킨 출력이 처음 원하던 출력과 동일한지 증명하고 싶다면 아래를 따라가 보면 된다.

축소된 Reference와 Carrier의 비교에 의해 스위치가 동작하여 발생된 출력 전압의 파형은 위와 같다. 이 때 출력의 평균값은 아래와 같이 구할 수 있고, 삼각비에 의한 수식을 대입하여 정리한 값을 B라고 하자.

이는 공교롭게(?) 처음 원하던 출력전압의 평균값과 동일하게 되어 출력 전압과 처음 원하던 출력이 동일함을 알 수 있다.

Half-Brdge Inverter에서 PWM 제어 적용
이제 이 방법을 적용하여 원하는 교류 전압을 만들어 보자. 이번엔 Reference 전압을 직류가 아닌 교류 파형으로 대체하고 그 진폭을 Modulation Ratio(입력 직류 전원 크기와 원하는 출력 크기의 비)에 맞게 축소하여 Carrier와 비교한다. 만약 Carrier의 주파수가 매우 크다면 이 교류 Reference도 거의 직류처럼 보이게 된다.

따라서 이를 토대로 스위칭한 출력 전압의 파형을 본다면 아래와 같을 것이며, 이를 T 주기마다 평균을 내면 discrete한 교류 파형을 얻을 수 있게 된다.

여기서 T를 스위칭 주기라고 하며 흔히 fsw라 표기하는 스위칭 주파수의 역수이다. 이 주기가 짧을수록, 즉 스위칭 주파수가 빠를수록 더 매끄러운 출력전압을 만들 수 있으며 수학적으로는 THD가 낮아지게 된다.
'유용한 지식 > 모터 제어' 카테고리의 다른 글
| 전기자동차 제작 대회를 준비하는 학생들에게 | 전기 파워트레인 제작실습 01 (0) | 2021.08.18 |
|---|---|
| 전기자동차의 모터는 어떻게 제어할까? (2) | 공간벡터전압 (2) | 2020.10.04 |
| 전기자동차의 모터는 어떻게 제어할까? (1) | 모터 전류 제어 (4) | 2020.08.13 |
| IPMSM과 돌극성(Saliency) (0) | 2020.08.12 |
| dq 좌표계 고찰 1 - dq 좌표계는 왜 쓸까? (0) | 2020.08.12 |
댓글